Subschet.ru: Новости | Статьи | Книги on-line | Журналы on-line | Книги в продаже | Вопрос-ответ | Официальные документы
SUBSCHET.RU
  Везде    Новости    Статьи    Книги on-line    Книги в продаже    Вопрос-ответ    Официальные документы  
Образец для поиска:

Все словоформы  Нечеткий поиск | Советы по поиску | Топ запросы






Д. В. Виноградов

МЕТОД КАПИТАЛИЗАЦИИ ПО НОРМЕ ОТДАЧИ. ДОХОДНЫЙ ПОДХОД К ОЦЕНКЕ СТОИМОСТИ ОБЪЕКТОВ НЕДВИЖИМОСТИ. ОЦЕНКА НЕДВИЖИМОСТИ В СООТВЕТСТВИИ С МЕЖДУНАРОДНЫМИ СТАНДАРТАМИ. ЭКОНОМИКА НЕДВИЖИМОСТИ: УЧЕБНОЕ ПОСОБИЕ


Метод капитализации по норме отдачи устанавливает (с использованием нормы дохода на капитал в качестве нормы дисконта) связь величин чистого операционного дохода, вычисленных для каждого года всего прогнозного периода, и стоимость реверсии на конец последнего года прогнозного периода со стоимостью объекта.

Метод включает в себя ряд техник, которые различаются между собой выбором типа капитализируемого дохода и способом капитализации:

  • техники непосредственного дисконтирования;
  • модельные техники;
  • техники ипотечно-инвестиционного анализа.

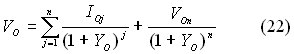
Техники непосредственного дисконтирования обеспечивают определение стоимости объекта недвижимости через дисконтирование потоков чистых операционных доходов (IO) и реверсии VOn с использованием локальных (для периодов) и средних величин общей нормы отдачи YO:



Средняя величина общей нормы отдачи определяется обработкой рыночной информации о доходности инвестиционных проектов, связанных с приобретением и доходным использованием объектов, или с использованием информации о доходности альтернативных проектов, ближайших к оцениваемому типу объектов по уровню рисков.

Для определения средней величины общей нормы отдачи YO используются следующие техники:

  • техника кумулятивного построения;
  • техника сравнения с альтернативными проектами;
  • техника сравнения продаж;
  • техника мониторинга рыночных данных.

Техника дисконтирования с суммированием рисков (техника кумулятивного построения) заключается в суммировании величин, отражающих степень риска данного проекта. Общая структура построения имеет следующий вид:



где YRF – безрисковая норма, включающая в себя безинфляционную составляющую и величину индекса инфляции; YR – премии за риск, включающая в себя премию за следующие виды рисков: физические, правовые, экономические, финансовые и социальные как внешние (страновой риск) так и внутренние, за исключением премии за риск низкой ликвидности и премии за риски, связанные с финансовым менеджментом, которые обосабливаются для того что бы подчеркнуть отличительную особенность недвижимости от других финансовых инструментов; YL – премии за риск низкой ликвидности; YFM – премии за риски, связанные с финансовым менеджментом

Пример 14. Определить стоимость объекта недвижимости с использованием техники дисконтирования с суммированием рисков, если известно что: собственник предполагает использовать объект оценки в своих целях 3 года, после чего перепродать его за 4500 тыс. руб.; чистый операционный доход от объекта оценки определен в размере 910 тыс. руб., 950 тыс. руб., 990 тыс. руб. соответственно за первый, второй и третий год владения объектом; безрисковая норма - 0,03; премия за страновой риск - 0,06; премия за физические риски - 0,025; премия за экономически риски - 0,015; премия за социальные риски - 0,03; премия за риск низкой ликвидности - 0,04; премия за риски, связанные с финансовым менеджментом - 0,03.

Решение:

1. Определим среднюю величину общей нормы отдачи:

2. Определим стоимость объекта недвижимости:

тыс. руб

Техника сравнения с альтернативными проектами заключается в поиске на финансовом рынке инвестиционных проектов с аналогичной степенью риска для последующей корректировки их нормы прибыли применительно к инвестициям в недвижимость.

При этом для величины общей нормы отдачи YO определяется диапазон возможных значений с границами снизу Y1 и сверху Y2:



Техника сравнения продаж заключается в анализе данных по совершенным сделкам купли-продажи с целью воссоздания предположений инвестора относительно будущих выгод от владения недвижимостью. На основе схемы денежных потоков проекта определяется внутренняя норма прибыли проекта.

Техника мониторинга рыночных данных заключается в анализе ретроспективных рыночных данных с целью определения текущих перспективных значений норм прибыли. При этом следует использовать корреляционные связи тенденций изменения прибыльности инвестиций в недвижимость с тенденциями изменения других инструментов финансового рынка.

Модельные техники обеспечивают определение рыночной стоимости всего объекта недвижимости для относительно простых частных случаев капитализации чистых операционных доходов, не меняющихся по периодам, и величины стоимости реверсии, связываемой с искомой стоимостью путем прогноза изменения ее во времени:



где dn = 1/(1+ YO)n - дисконтный множитель, an = 1/(1- dn)n - текущая стоимость единичного аннуитета.

При этом используется одинаковая для всех периодов общая норма отдачи, определяемая аналогично величине общего коэффициента капитализации:



где SFFO = 1/SOn – коэффициент фонда возмещения, SOn = 1/(1+YO)n –1 - будущая стоимость единичного аннуитета, ΔO = (VOn – VO)/ VO – величина относительного приращения стоимости объекта.

В этой группе представлены:

  • техники без учета амортизации;
  • техники полной амортизации;
  • техники линейной амортизации.

Техники без учета амортизации применяется в двух случаях: либо имеется бесконечный поток дохода (SFFO→0), либо поток дохода конечен, но цена продажи объекта равна начальной цене покупки (ΔO=0), т.е. первоначальной инвестиции.

В результате (26) приобретает следующий вид:



Стоимость такой недвижимости определяется путем деления чистого операционного дохода на подходящую норму отдачи (12).

Пример 15. Определить стоимость объекта недвижимости с использованием модельных техник без учета амортизации, если известно что: собственник предполагает использовать объект оценки в своих целях 3 года, после чего перепродать за цену приобретения; чистый операционный доход от объекта оценки определен в размере 910 тыс. руб. за каждый год владения объектом; норма отдачи на капитал определена в размере 0,203

Решение:

Определим стоимость объекта недвижимости:

тыс. руб.

Техники полной амортизации применяется в случаях, когда доходы от эксплуатации обеспечивают не только формирование дохода на капитал, но и полный возврат капитала (ΔO=-1, R0=Y0+ SFFO).

В результате (26) приобретает следующий вид:



Для расчета фактора фонда возмещения (SFFO) используют норму отдачи, характерную для оцениваемого проекта (техника Инвуда) или по безрисковой ставке (техника Хоскольда)

Пример 16. Определить стоимость объекта недвижимости с использованием модельной техники полной амортизации Инвуда и модельной техники полной амортизации Хоскольда, если известно что: собственник предполагает использовать объект оценки в своих целях 3 года, после чего перепродать за цену приобретения; чистый операционный доход от объекта оценки определен в размере 910 тыс. руб. за каждый год владения объектом; норма отдачи на капитал определена в размере 0,10; безрисковая ставка определена в размере 0,06.

Решение:

1. Техника Инвуда:

1.1 Определим общий коэффициент капитализации:

1.2 Определим стоимость объекта недвижимости:

тыс. руб.

2. Техника Хоскольда:

2.1 Определим общий коэффициент капитализации:

2.2 Определим стоимость объекта недвижимости:

тыс. руб.

Техники линейной амортизации применяют для определения настоящей стоимости в случаях, когда и доход, и стоимость недвижимости изменяются известным регулярным образом.

Для учета изменения стоимости актива применяется базовая формула Эллвуда:



где A - величина корректировки.

При этом, если стоимость объекта уменьшается, то корректировка A имеет знак «+», а если стоимость будет увеличиваться, то корректировка будет иметь знак «-«.

Численное значение корректировки определяется умножением относительного изменения стоимости (ΔO) на фактор фонда возмещения (SFFO), а общая формула для коэффициента капитализации принимает вид (26).

Пример 17. Определить стоимость объекта недвижимости с использованием модельных техник линейной амортизации, если известно что: собственник предполагает использовать объект оценки в своих целях 3 года, стоимость объекта уменьшится за период владения на 12%; чистый операционный доход от объекта оценки определен в размере 910 тыс. руб. за каждый год владения объектом; норма отдачи на капитал определена в размере 0,10.

Решение:

1. Определим величину относительного приращения стоимости объекта:

2. Определим общий коэффициент капитализации:

3. Определим стоимость объекта недвижимости:

тыс. руб.

Техники ипотечно-инвестиционного анализа обеспечивают определение стоимости недвижимости с учетом изменения ее стоимости и дохода, а также с учетом условий финансирования. Существуют две техники ипотечно-инвестиционного анализа:

  • техника ипотечно-инвестиционного анализа с дисконтированием;
  • модельная техника анализа (техника Эллвуда).

Техника ипотечно-инвестиционного анализа с дисконтированием основана на сложении основной суммы ипотечного кредита (VM) с дисконтированной текущей стоимостью будущих денежных поступлений и выручки от перепродажи актива:



где dEn = 1/(1+ YE)n - дисконтный множитель, aEn = 1/(1- dEn)n - текущая стоимость единичного аннуитета, рассчитанные для т периодов при норме отдачи на собственный капитал, YE определяется теми же техниками, что и общая норма отдачи, IE = NOI - DS - величина дохода на собственный капитал, VEn = VOn - VMn – стоимость реверсии для собственного капитала, определяемая как разность общей стоимости реверсии (VOn) и остатка платежей по кредиту (VMn).

Пример 18. Определить стоимость объекта недвижимости с использованием техники ипотечно-инвестиционного анализа с дисконтированием, если известно что: собственник на приобретение объекта оценки 2 года назад затратил 3400 тыс. руб.; на приобретение объекта недвижимости был получен кредит в размере 1 000 тыс. руб. под 13% годовых на 6 лет (годовой платёж по обслуживанию долга 250 тыс. руб.); собственник предполагает использовать объект оценки в своих целях 3 года, после чего перепродать за 4000 тыс. руб.; чистый операционный доход от объекта оценки определен в размере 910 тыс. руб. за каждый год владения объектом; норма отдачи на капитал определена в размере 0,10.

Решение:

1. Определим остатки кредита на момент оценки (3-й год кредита) и на конец периода владения (5-й год кредита):

тыс. руб.

тыс. руб.

2. Определим стоимость объекта недвижимости:

тыс. руб.

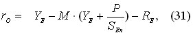
Модельная техника анализа (техника Эллвуда)

Данная техника применяется для частных случаев постоянства доходов и норм отдачи. В основе данной техники лежит формула для расчета общего коэффициента капитализации:



где rO - базовый коэффициент капитализации, который берет за основу требования инвестора по норме отдачи собственного капитала до корректировок на изменения дохода и стоимости недвижимости. Если доход и стоимость недвижимости не изменяются, базовый коэффициент капитализации будет соответствовать общему коэффициенту капитализации; P=[(l+Ym)N-1]/[(l+Ym)n-1] - доля самоамортизирующегося кредита, выплаченная к концу n-го периода, при общем сроке кредитного соглашения, равном N лет (см. выше), Ym — эффективная ставка процента по этому кредиту.


Список использованной литературы:

  1. Озеров Е. С. Экономика и менеджмент недвижимости. Спб: Издетельство «МКС», 2003 – 422 с. – ISBN 5-901-810-04-Х
  2. Виноградов Д. В. Норма дисконта: сущность, методы определения. // Энциклопедия оценки "Рыночная стоимость" - MARKETVALUE.RU, 2006



Страницы: ... 17 18 19 20 21 22 23 24 25 26 ...
Содержание
Глава 4. Оценка недвижимости в соответствии с международными стандартами
Виды стоимости объектов недвижимости / Принципы оценки объектов недвижимости / Факторы, влияющие на стоимость объектов недвижимости / Основные подходы к оценке стоимости объектов недвижимости / Доходный подход к оценке стоимости объектов недвижимости / Рыночный (сравнительный) подход к оценке стоимости объектов недвижимости / Затратный подход к оценке стоимости объектов недвижимости / Технология оценки недвижимости







© Обращаем особое внимание коллег на необходимость ссылки на "Субсчет.ру: теория и практика бухгалтерского учета и налогообложения" при цитировании (для on-line проектов обязательна активная гиперссылка)



  Рубрикатор

Налоги:
НДС | Налог на прибыль | НДФЛ | ЕСН | Акцизы | НДПИ | Налог на имущество предприятий | Транспортный налог | Налог на игорный бизнес | Земельный налог | УСН | ЕНВД | ЕСХН

Бухучет:
Учет основных средств | Учет нематериальных активов | Учет вложений во внеоборотные активы | Учет материально-производственных запасов | Учет собственного капитала | Учетная политика организации | Учет расчетов | Бухгалтерская отчетность

Документы:
Судебная практика по налоговым спорам (ФАС)

Кодексы:
НК РФ ч.1 | НК РФ ч.2 | ГК РФ ч.1 | ГК РФ ч.2 | ГК РФ ч.3 | ГК РФ ч.4 | ТК РФ

Разное:
Экономика недвижимости: учебное пособие Виноградов Д.В| -

  Новости

Налог на прибыль: учет банком доходов в виде процентов по кредитному договору

Возврат НДС организациям, экспортирующим водные биоресурсы с низкой степенью переработки

НДФЛ с доходов граждан стран ЕАЭС от работы по найму в РФ

Депутаты предлагают восстановить для детей-инвалидов и инвалидов I и II групп возможность воспользоваться правом на внеконкурсное поступление в ВУЗы

Налогообложение НДФЛ доходов резидента Великобритании, полученных в виде дивидендов или вознаграждений от российского общества

Все новости >>


  Статьи

Защита компрессорного оборудования от пыли, влаги и холода: методы и решения для промышленности

Использование СБП в коммерческой деятельности организаций и препринимателей

Как провести ВЭД-платеж: инструкция для бизнеса пошагово

Способы организации складского учета: от карточек до автоматизации

Повышающий коэффициент к лицензионным правам: как применять с 2025 года

Районный коэффициент и надбавка дистанционному работнику

Все статьи >>


  Официальные документы

Об учете в целях УСН расходов на оплату услуг нотариуса за учредителей при купле-продаже ими доли в уставном капитале организации. Письмо Минфина России от 09.12.2019 N 03-11-11/95351.

О получении налгового вычета при приобретении лекарств за счет собственных средств. Письмо Минфина России от 16.12.2019 N 03-04-05/98226.

Все официальные документы>>





Рейтинг@Mail.ru

Subschet.ru: Новости | Статьи | Книги on-line | Журналы on-line | Книги в продаже | Вопрос-ответ | Официальные документы | Закладки | Copyright © 2005-2014