Subschet.ru: Новости | Статьи | Книги on-line | Журналы on-line | Книги в продаже | Вопрос-ответ | Официальные документы
SUBSCHET.RU
  Везде    Новости    Статьи    Книги on-line    Книги в продаже    Вопрос-ответ    Официальные документы  
Образец для поиска:

Все словоформы  Нечеткий поиск | Советы по поиску | Топ запросы






Д. В. Виноградов

МЕТОД ПРЯМОЙ КАПИТАЛИЗАЦИИ. ДОХОДНЫЙ ПОДХОД К ОЦЕНКЕ СТОИМОСТИ ОБЪЕКТОВ НЕДВИЖИМОСТИ. ОЦЕНКА НЕДВИЖИМОСТИ В СООТВЕТСТВИИ С МЕЖДУНАРОДНЫМИ СТАНДАРТАМИ. ЭКОНОМИКА НЕДВИЖИМОСТИ: УЧЕБНОЕ ПОСОБИЕ


Капитализация будущих доходов в настоящую стоимость осуществляется с использованием:

  • метода прямой капитализации, включающего в себя техники мультипликаторов валового дохода, техники коэффициентов капитализации и техники остатка;
  • метода капитализации по норме отдачи, включающего в себя техники непосредственного дисконтирования, модельные техники и техники ипотечно-инвестиционного анализа.

Метод прямой капитализации устанавливает связь какого-либо дохода, вычисленного на конец первого года, следующего за датой оценки, со стоимостью объекта недвижимости (Vo) посредством нормы денежных потоков (мультипликатора или коэффициента капитализации).

Метод включает в себя техники мультипликаторов валового дохода, техники коэффициентов капитализации и техники остатка.

Техники мультипликаторов валового дохода.

В основе определения стоимости объекта недвижимости лежат следующие техники:

  • техника мультипликаторов ПВД;
  • техника мультипликаторов ДВД.

Процедура капитализации для данных методов состоит в умножении соответственно ПВД или ДВД на среднерыночные величины мультипликатора, характерные для оцениваемого типа объектов недвижимости.


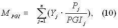
Vo = PGI · M PGI (8)

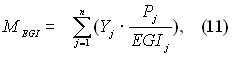
Vo = EGI · M EGI (9)


Мультипликаторы определяются на основании обработки рыночных данных о ценах продаж (Pj) и о величинах доходах соответственно PGIj или EGIj на конец года, следующего за датой продажи для конкретных объектов, с использованием Yj – весового коэффициента, учитывающего отличие качеств j-го объекта и управления им в сравнении с объектом оценки.



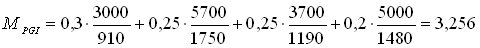
Пример 4. Определить стоимость объекта недвижимости с использованием техник мультипликаторов валового дохода, если известно что: ПВД и ДВД для объекта оценки определены как 1270 тыс. руб. и 1020 тыс. руб. соответственно; на местном рынке зафиксированы следующие сделки c объектами недвижимости аналогичными оцениваемому:

Показатель
Сделка, тыс. руб.
1
2
3
4
Цена продажи
3 000
5 700
3 700
5 000
Потенциальный валовой доход
910
1 750
1 190
1 480
Действительный валовой доход
740
1 410
910
1 220
Весовой коэффициент, Yj
0,3
0,25
0,25
0,2

Решение:

Определим среднерыночные величины мультипликатора ПВД и мультипликатора ДВД, используя выражения 9 и 10:

Определим стоимость объекта недвижимости, используя выражения 7 и 8:

тыс. руб.

Техники коэффициентов капитализации обеспечивают определение стоимости объекта недвижимости через капитализацию ЧОД (NOI или IO) путём его деления на норму денежного потока, называемую общим коэффициентом капитализации:



В основе определения общего коэффициента капитализации лежит одна из следующих техник:
  • техника группы компонентов собственности;
  • техника инвестиционной группы или группы компонентов капитала;
  • техника коэффициента покрытия долга;
  • техника сравнительного анализа;
  • техника коэффициента операционных расходов.

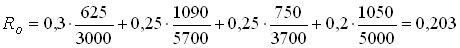
Техника сравнительного анализа заключается в обработке рыночных данных о ценах продаж Pj и чистых операционных доходов Ioj на конец года, следующего за датой продажи с использованием Yj – весового коэффициента, учитывающего отличие качеств j-го объекта и управления им в сравнении с объектом оценки:



Данный метод является наиболее предпочтительным, однако требует достоверной и полной информации об объектах сравнимых продаж.

Пример 5. Определить стоимость объекта недвижимости с использованием техники сравнительного анализа, если известно что: чистый операционный доход объекта оценки определен в размере 910 тыс. руб.; на местном рынке зафиксированы следующие сделки c объектами недвижимости аналогичными оцениваемому:
Показатель
Сделка, тыс. руб.
1
2
3
4
Цена продажи
3 000
5 700
3 700
5 000
Чистый операционный доход
625
1090
750
1050
Весовой коэффициент, Yj
0,3
0,25
0,25
0,2

Решение:

1. Определим общий коэффициент капитализации:

2. Определим стоимость объекта недвижимости:

тыс. руб.

Данный метод является наиболее предпочтительным, однако требует достоверной и полной информации об объектах сравнимых продаж

Техника группы компонентов собственности основана на предположении о том, что при наличии в объекте недвижимости физических составляющих земли и здания общий коэффициент капитализации должен удовлетворять требованиям дохода владельцев всех интересов (
):



где L – доля величины стоимости земли VL в величине рыночной стоимости всего объекта VO, VB – рыночная стоимость улучшений (зданий), RL – рыночная величина коэффициента капитализации для земли, RB – рыночная величина коэффициента капитализации для улучшений (зданий). VL может быть определено с помощью метода сравнения продаж или метода распределения для оценки земельных участков.

Пример 6. Определить стоимость объекта недвижимости с использованием техники группы компонентов собственности, если известно что: анализ местного рынка показывает, что аналогичный по размерам земельный участок в ближайших окрестностях оцениваемого объекта недвижимости можно купить за 500 тыс. руб.; сметная стоимость строительства здания аналогичного объекту оценки составляет 1500 тыс. руб.; рыночная величина коэффициента капитализации для земли – 0,3; рыночная величина коэффициента капитализации для улучшений (зданий) – 0,20; чистый операционный доход объекта оценки определен в размере 910 тыс. руб.

Решение:

1. Определим долю стоимости земли в величине рыночной стоимости всего объекта:

2. Определим общий коэффициент капитализации:

3. Определим стоимость объекта недвижимости:

тыс. руб.

Техника инвестиционной группы или группы компонентов капитала основана на предположении о том, что при наличии в объекте недвижимости финансовых интересов владельцев собственного капитала и кредиторов общий коэффициент капитализации должен удовлетворять требованиям дохода владельцев всех интересов (
):



где M – доля величины заёмного капитала VM в величине рыночной стоимости всего объекта VO, VE – рыночная стоимость собственного капитала, RM – рыночная величина коэффициента капитализации для заёмного капитала, RE – рыночная величина коэффициента капитализации собственного капитала, ML – сумма ипотечного кредита, EI – сумма собственного капитала. VM может быть определен на основе анализа рыночных сделок с аналогичными оцениваемому объектами недвижимости.

Пример 7. Определить стоимость объекта недвижимости с использованием техники группы компонентов капитала, если известно что: сумма ипотечного кредита – 1 000 тыс. руб.; стоимость обслуживания долга - 250 тыс. руб./ год; сумма собственного капитала, инвестированного в объект недвижимости – 2 900 тыс. руб.; чистый операционный доход объекта оценки определен в размере 910 тыс. руб.; чистый валовой доход – 650 тыс. руб.; на местном рынке средняя цена объектов недвижимости, аналогичных оцениваемому, составляет 4300 тыс. руб.

Решение:

1. Определим долю стоимости заёмного капитала в величине рыночной стоимости всего объекта:

2. Определим общий коэффициент капитализации:

3. Определим стоимость объекта недвижимости:

тыс. руб.

Техника коэффициента покрытия долга предполагает определение RO с учетом требуемого покрытия долга:



где DCR – коэффициент покрытия долга.

Пример 8. Определить стоимость объекта недвижимости с использованием техники коэффициента покрытия долга, если известно что: сумма ипотечного кредита – 1 000 тыс. руб.; стоимость обслуживания долга - 250 тыс. руб./ год; сумма собственного капитала, инвестированного в объект недвижимости – 2 900 тыс. руб.; чистый операционный доход объекта оценки определен в размере 910 тыс. руб.; на местном рынке средняя цена объектов недвижимости, аналогичных оцениваемому, составляет 4300 тыс. руб.

Решение:

1. Определим общий коэффициент капитализации:

2. Определим стоимость объекта недвижимости:

тыс. руб.

Техника коэффициента операционных расходов применяется в случаях, когда полная информация об объектах сравнения недоступна, но есть данные о ДВД и ОР:




где KOE – коэффициент операционных доходов.

Пример 9. Определить стоимость объекта недвижимости с использованием техники коэффициента операционных расходов, если известно что: мультипликатор ДВД составляет 4,063; ДВД и ОР для объекта оценки определен как 1020 тыс. руб. и 110 тыс. руб. соответственно;

Решение:

1. Определим общий коэффициент капитализации:

2. Определим стоимость объекта недвижимости:

тыс. руб.

Техники остатка заключаются в капитализации дохода, относящегося к одной из инвестиционных составляющих, в то время как стоимость других известна и может быть достаточно точно определена.

В основе определения стоимости объекта недвижимости лежит одна из следующих техник:

  • техника остатка для земли;
  • техника остатка для улучшений;
  • остатка для собственного капитала;
  • техника остатка для заёмного капитала.

Техника остатка для земли применяется при анализе наилучшего и наиболее эффективного использования земли, определяя стоимость улучшений как, например, стоимость нового здания. Применение техники оказывается эффективным, если нет достоверных данных о продажах земли:



Пример 10. Определить стоимость объекта недвижимости с использованием техники остатка для земли, если известно что:
  • сметная стоимость строительства здания аналогичного объекту оценки составляет 1500 тыс. руб.;
  • чистый операционный доход объекта оценки определен в размере 910 тыс. руб.;
  • рыночная величина коэффициента капитализации для земли – 0,3;
  • рыночная величина коэффициента капитализации для улучшений (зданий) – 0,20.

Решение:

Определим стоимость объекта недвижимости:

тыс. руб.

Техника остатка для улучшений применяется при анализе экономической целесообразности модернизации или ликвидации здания, так как прямо измеряет вклад здания в стоимость. Применение техники также целесообразно для оценки недвижимости, имеющей значительный износ:




Пример 11. Определить стоимость объекта недвижимости с использованием техники остатка для улучшений, если известно что: анализ местного рынка показывает, что аналогичный по размерам земельный участок в ближайших окрестностях оцениваемого объекта недвижимости можно купить за 500 тыс. руб.; чистый операционный доход объекта оценки определен в размере 910 тыс. руб.; рыночная величина коэффициента капитализации для земли – 0,3; рыночная величина коэффициента капитализации для улучшений (зданий) – 0,20.

Решение:

Определим стоимость объекта недвижимости:

тыс. руб.

Техника остатка для собственного капитала применяется для оценки полного права собственности заново сооружаемого объекта недвижимости:



Пример 12. Определить стоимость объекта недвижимости с использованием техники остатка для собственного капитала, если известно что: сумма ипотечного кредита составляет 1 000 тыс. руб.; стоимость обслуживания долга - 250 тыс. руб./ год; сумма собственного капитала, инвестированного в объект недвижимости – 2 900 тыс. руб.; чистый операционный доход объекта оценки определен в размере 910 тыс. руб.; чистый валовой доход – 650 тыс. руб.

Решение:

Определим стоимость объекта недвижимости:

тыс. руб.

Техника остатка для заёмного капитала применяется также для оценки полного права собственности заново сооружаемого объекта недвижимости:



Пример 13. Определить стоимость объекта недвижимости с использованием техники остатка для собственного капитала, если известно что: сумма ипотечного кредита – 1 000 тыс. руб.; стоимость обслуживания долга - 250 тыс. руб./ год; сумма собственного капитала, инвестированного в объект недвижимости – 2 900 тыс. руб.; чистый операционный доход объекта оценки определен в размере 910 тыс. руб.; чистый валовой доход – 650 тыс. руб.

Решение:

Определим стоимость объекта недвижимости:

тыс. руб.

Страницы: ... 16 17 18 19 20 21 22 23 24 25 ...
Содержание
Глава 4. Оценка недвижимости в соответствии с международными стандартами
Виды стоимости объектов недвижимости / Принципы оценки объектов недвижимости / Факторы, влияющие на стоимость объектов недвижимости / Основные подходы к оценке стоимости объектов недвижимости / Доходный подход к оценке стоимости объектов недвижимости / Рыночный (сравнительный) подход к оценке стоимости объектов недвижимости / Затратный подход к оценке стоимости объектов недвижимости / Технология оценки недвижимости







© Обращаем особое внимание коллег на необходимость ссылки на "Субсчет.ру: теория и практика бухгалтерского учета и налогообложения" при цитировании (для on-line проектов обязательна активная гиперссылка)



  Рубрикатор

Налоги:
НДС | Налог на прибыль | НДФЛ | ЕСН | Акцизы | НДПИ | Налог на имущество предприятий | Транспортный налог | Налог на игорный бизнес | Земельный налог | УСН | ЕНВД | ЕСХН

Бухучет:
Учет основных средств | Учет нематериальных активов | Учет вложений во внеоборотные активы | Учет материально-производственных запасов | Учет собственного капитала | Учетная политика организации | Учет расчетов | Бухгалтерская отчетность

Документы:
Судебная практика по налоговым спорам (ФАС)

Кодексы:
НК РФ ч.1 | НК РФ ч.2 | ГК РФ ч.1 | ГК РФ ч.2 | ГК РФ ч.3 | ГК РФ ч.4 | ТК РФ

Разное:
Экономика недвижимости: учебное пособие Виноградов Д.В| -

  Новости

Налог на прибыль: учет банком доходов в виде процентов по кредитному договору

Возврат НДС организациям, экспортирующим водные биоресурсы с низкой степенью переработки

НДФЛ с доходов граждан стран ЕАЭС от работы по найму в РФ

Депутаты предлагают восстановить для детей-инвалидов и инвалидов I и II групп возможность воспользоваться правом на внеконкурсное поступление в ВУЗы

Налогообложение НДФЛ доходов резидента Великобритании, полученных в виде дивидендов или вознаграждений от российского общества

Все новости >>


  Статьи

Защита компрессорного оборудования от пыли, влаги и холода: методы и решения для промышленности

Использование СБП в коммерческой деятельности организаций и препринимателей

Как провести ВЭД-платеж: инструкция для бизнеса пошагово

Способы организации складского учета: от карточек до автоматизации

Повышающий коэффициент к лицензионным правам: как применять с 2025 года

Районный коэффициент и надбавка дистанционному работнику

Все статьи >>


  Официальные документы

Об учете в целях УСН расходов на оплату услуг нотариуса за учредителей при купле-продаже ими доли в уставном капитале организации. Письмо Минфина России от 09.12.2019 N 03-11-11/95351.

О получении налгового вычета при приобретении лекарств за счет собственных средств. Письмо Минфина России от 16.12.2019 N 03-04-05/98226.

Все официальные документы>>





Рейтинг@Mail.ru

Subschet.ru: Новости | Статьи | Книги on-line | Журналы on-line | Книги в продаже | Вопрос-ответ | Официальные документы | Закладки | Copyright © 2005-2014